中国科学院近代物理所科研人员利用兰州冷却储存环(CSR)精确测量的65As和66Se最新原子质量数据,结合壳模型和辐射俘获理论,对X射线暴中两个核反应64Ge(p,γ)65As (p,γ)66Se的反应率进行了重新评估,取得了重要成果。

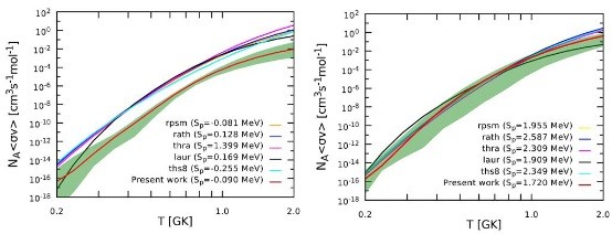
在天体X射线暴的快质子俘获rp过程路径上,64Ge核扮演着非常重要的角色。2011年以前,人们还没有65As和66Se核质量(或者质子分离能Sp)的实验数据,只有理论估计值。基于这些理论估计值的天体网络计算表明,64Ge是一个非常好的等待点核。2011年,近代物理所科研人员利用CSR对65As的质量进行了精确测量,得到Sp(65As)=-90±85keV。基于这一数据,重新评估了66Se的质量,得到Sp(66Se)=1.72±0.31MeV。这两个数据被收录在最新原子质量评估数据 (AME2012) 中。嗣后,近代物理所科研人员联合国内外核天体物理学家,研究了这两个新的质量评估数据在X射线暴中的天体物理意义,文章认为64Ge并不是一个非常好的等待点核。
最近,近代物理所科研人员对基于以上两个实验数据的相关核反应64Ge(p,γ)65As和65As(p,γ)66Se的天体物理反应率进行了计算。下图显示了计算的反应率(中心值)和相应的不确定度,以及与过去估算的反应率的比较。在这里,研究人员第一次给出了64Ge比较可靠的不确定度。 研究结果在Astrophys. J. 818, 78 (2016)上发表。
论文链接:http://iopscience.iop.org/article/10.3847/0004-637X/818/1/78
(据中国科学院近代物理研究所)
原创文章,如若转载,请注明出处。