南京大学天文与空间科学学院戴子高教授课题组通过分析最近发生的一次史上最剧烈的超新星爆发,获得了夸克星存在的重要证据。该工作有望为人类理解物质的最深层构成以及各组分之间的相互作用提供帮助。论文已发表在天文学国际权威期刊《天体物理学杂志》上。

目前的物理理论普遍认为,所有正常物质都由最基本的粒子:夸克和轻子组成。但与此同时,夸克间的强相互作用力却未能被人类很好理解。上世纪七十年代初,物理学家提出,宇宙中很可能存在一类完全由夸克组成的致密天体,称为夸克星,其密度高达每立方厘米数亿吨之巨。对此类天体的发现或证伪,将极大促进对夸克相互作用这一基本物理问题的理解。但数十年来,天文观测一直未能在这一问题上有所突破。
戴子高从1990年攻读博士学位起,就研究如何从观测上证认夸克星。其导师陆埮院士等人的先前研究已经发现,夸克星对任何振动的阻尼时标都不到1秒,而中子星的阻尼时标却特别长。正是由于夸克星具有极强的阻尼效应,它的自转周期可以达到亚毫秒,即每秒钟超过1000次转速,而新生的中子星是不可以的。

最近北京大学东苏勃研究员(南大校友)领衔的国际团队发现的史上最强超新星爆发ASASSN-15lh为夸克星的搜索带来了曙光。超新星是大质量恒星在死亡阶段发生的一类剧烈爆发现象,其爆发过程中释放的光学辐射,常常能够照亮其所在的整个星系。这种巨大的能量一般认为来自大量放射性元素的衰变。但这一解释并不适用于最近发现的这颗最强超新星,因为在发现后的仅四个月内,ASASSN-15lh辐射的总能量相当于太阳以现在的强度照耀900亿年。如此之高能量所要求的放射性元素质量,已经超过整个恒星所具有的总质量。
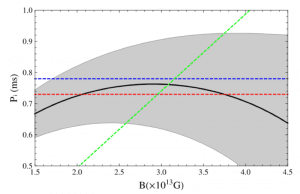
因此,解释ASASSN-15lh的辐射能量,需要有更为巨大的能量来源。这一能源必须由爆炸核心残留下来的致密天体来提供。戴子高教授课题组对超新星辐射特征的分析和计算揭示,这个致密天体应该具有每秒钟至少上千次的极快转速,且这一高速旋转状态需要保持很长时间(图1)。这些特点对内部物质组分提出了极为严苛的要求。根据早期的研究,该课题组得出结论,这一爆炸残留的致密天体很可能是一颗刚刚诞生的夸克星(图2)。
夸克星存在的这个重要线索,为将来观测发现此类天体奠定了一定的基础。一旦夸克星被正式观测到,人类对于粒子物理和天体物理的认识都将有重大突破。
该项研究得到了科技部973项目(2014CB845800)和国家自然科学基金项目(11573014和11473008)的资助。
本文编自:南京大学
原创文章,如若转载,请注明出处。